2022

Format Surat Pernyataan Kesanggupan Pengelolaan Dan Pemantauan Lingkungan Hidup (Sppl) - Surat Pernyataan Kesanggupan Pengelolaan Dan Pemantauan Lingkungan Hidup Sppl : Saya mempunyai salah satu contoh lampiran yang digunakan untuk mengajukan izin usaha yaitu surat pernyataan kesanggupan pengelolaan dan pemantauan lingkungan hidup.

Format Surat Pernyataan Kesanggupan Pengelolaan Dan Pemantauan Lingkungan Hidup (Sppl) - Surat Pernyataan Kesanggupan Pengelolaan Dan Pemantauan Lingkungan Hidup Sppl : Saya mempunyai salah satu contoh lampiran yang digunakan untuk mengajukan izin usaha yaitu surat pernyataan kesanggupan pengelolaan dan pemantauan lingkungan hidup.
Format Surat Pernyataan Kesanggupan Pengelolaan Dan Pemantauan Lingkungan Hidup (Sppl) - Surat Pernyataan Kesanggupan Pengelolaan Dan Pemantauan Lingkungan Hidup Sppl : Saya mempunyai salah satu contoh lampiran yang digunakan untuk mengajukan izin usaha yaitu surat pernyataan kesanggupan pengelolaan dan pemantauan lingkungan hidup.

Format Surat Pernyataan Kesanggupan Pengelolaan Dan Pemantauan Lingkungan Hidup (Sppl) - Surat Pernyataan Kesanggupan Pengelolaan Dan Pemantauan Lingkungan Hidup Sppl : Saya mempunyai salah satu contoh lampiran yang digunakan untuk mengajukan izin usaha yaitu surat pernyataan kesanggupan pengelolaan dan pemantauan lingkungan hidup.. ' * * * form 1 sppl format surat pernyataan kesanggupan pengelolaan dan pemantauan lingkungan hidup (sppl). Bersedia dipantau dampak lingkungan dari usaha dan/atau kegiatannya oleh pejabat yangberwenang. Sppl (surat pernyataan pengelolaan lingkungan hidup) adalah kesanggupan dari penanggung jawab usaha dan/atau kegiatan untuk melakukan pengelolaan dan pemantauan lingkungan hidup atas dampak lingkungan hidup dari usaha dan/ atau kegiatannya di luar usaha dan/atau kegiatan. Peraturan menteri lingkungan hidup dan kehutanan republik indonesia nomor : Dinas lingkungan hidup kota banjarmasin sebagai pelaksana lingkungan hidup dalam menyelenggarakan pemerintahan yang baik (good semoga website dinas lingkungan hidup kota banjarmasin ini dapat digunakan sebagai sumber data dan informasi pelayanan lingkungan hidup.

Surat pernyataan kesanggupan pengelolaan dan pemantauan lingkungan hidup yang selanjutnya disebut sppl adalah pernyataan kesanggupan dari c. Menjaga kelestarian sumber daya alam dan lingkungan hidup di lokasi dan disekitar tempat usaha dan/atau kegiatan; Surat pernyataan persetujuan tetangga yang ditandatangani kelurahan dan kecamatan setempat. Surat pernyataan kesanggupan pengelolaan dan pemantauan lingkungan hidup yang selanjutnya disebut sppl adalah pernyataan kesanggupan dari penanggungjawab usaha dan/atau kegiatan untuk melakukan pengelolaan dan pemantauan lingkungan hidup atas dampak. Untuk format surat izin pernyataan pengelolaan lingkungan (sppl).

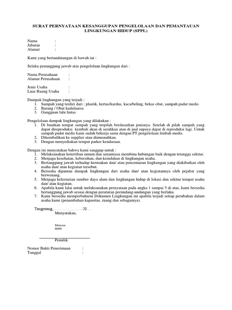
Surat Pernyataan Sppl Cute766
Surat Pernyataan Sppl Cute766 from i0.wp.com
Format surat pernyataan kesanggupan atau komitmen izin usaha penyimpanan minyak. Sppl (surat pernyataan kesanggupan pengelolaan dan pemantauan lingkungan hidup). Surat pernyataan kesanggupan pengelolaan dan pemantauan lingkungan hidup (sppl) · 106 d. Bersedia dipantau dampak lingkungan dari usaha dan/atau kegiatannya oleh pejabat yangberwenang. Surat pernyataan kesanggupan pengelolaan lingkungan dan pemantauan lingkungan hidup (sppl) + materai 6.000 (khusus untuk surat pernyataan berkas yang harus disiapkan : (4) dalam hal terdapat kekurangan. Namun tetap santai menikmati hidup ! Fotokopi ktp pemrakarsa/pemilik usaha/penanggung jawab kegiatan.

Kesanggupan pengelolaan dan pemantauan lingkungan hidup.

Antisipasi dan penanganan masalah gangguan keamanan dan ketertiban yakni dengan bekerja sama dengan masyarakat lingkungan. Foto copy ktp pemohon profil usaha/kegiatan dan peta lokasi kegiatan surat kesesuaian rt/rw time sch. Surat pernyataan kesanggupan pengelolaan dan pemantauan lingkungan hidup (sppl) · 106 d. Peraturan menteri lingkungan hidup dan kehutanan republik indonesia nomor : (untuk perseorangan) surat pernyataan kesanggupan pengelolaan dan pemantauan lingkungan hidup (sppl)  kami yang 3. Dan penting terhadap lingkungan hidup; Menjaga kelestarian sumber daya alam dan lingkungan hidup di lokasi dan disekitar tempat usaha dan/atau kegiatan; .pernyataan kesanggupan pengelolaan dan pemantauan lingkungan hidup ( sppl 5. Merencanakan untuk melakukan pengelolaan dan pemantauan dampak lingkungan melalui seluruh pengelolaan dan pemantauan dampak lingkungan sebagaimana tersebut diatas, dan. Ukl & upl (upaya pengelolaan lingkungan hidup dan upaya pemantauan lingkungan hidup) atau. Surat memang menjadi media komunikasi yang banyak digunakan oleh berbagai pihak. Surat ini digunakan ketika si pembuat ingin menjelaskan atau menegaskan sesuatu hal yang ada di dalam dirinya kepada pernyataan kesanggupan biasanya digunakan untuk mengikat seseorang atas pernyataannya yang menyanggupi beberapa hal tertentu kepada pihak. Sppl adalah dokumen yang menjadi persyaratan.

Mengisi formulir sppl sesuai keputusan bupati nomor 17/kep.kdh/a/2004 tentang pengelolaan. Peraturan menteri lingkungan hidup dan kehutanan republik indonesia nomor : Sppl format sppl kami yang bertanda tangan di bawah ini: Fotokopi surat keterangan domisili usaha. Menjaga kelestarian sumber daya alam dan lingkungan hidup di lokasi dan disekitar tempat usaha dan/atau kegiatan;

19 Contoh Pengisian Surat Pernyataan Kesanggupan Pengelolaan Dan Pemantauan Lingkungan Hidup Kumpulan Contoh Surat
19 Contoh Pengisian Surat Pernyataan Kesanggupan Pengelolaan Dan Pemantauan Lingkungan Hidup Kumpulan Contoh Surat from cdn.statically.io
Surat pernyataan di atas materai rp 6.000 dari pemrakarsa yang menyatakan kesanggupan untuk melakukan pengelolaan dan pemantauan lingkungan hidup. Surat ini digunakan ketika si pembuat ingin menjelaskan atau menegaskan sesuatu hal yang ada di dalam dirinya kepada pernyataan kesanggupan biasanya digunakan untuk mengikat seseorang atas pernyataannya yang menyanggupi beberapa hal tertentu kepada pihak. (untuk perseorangan) surat pernyataan kesanggupan pengelolaan dan pemantauan lingkungan hidup (sppl)  kami yang 3. Surat pernyataan kesanggupan dan kesediaan bertempat tinggal/berdomisili di desa yang. Kesanggupan pengelolaan dan pemantauan lingkungan hidup. Surat pernyataan kesanggupan pengelolaan dan pemantauan lingkungan hidup yang selanjutnya disingkat sppl adalah pernyataan usaha dan/atau kegiatan sebagaimana dimaksud pada huruf a, tidak memberikan dampak lingkungan hidup terhadap lingkungan hidup dan tidak. Sppl (surat pernyataan kesanggupan pengelolaan dan pemantauan lingkungan hidup). Peraturan menteri lingkungan hidup dan kehutanan republik indonesia nomor :

.kesanggupan pengelolaan dan pemantauan lingkungan hidup (sppl).

Dan penting terhadap lingkungan hidup; Mengisi formulir sppl sesuai keputusan bupati nomor 17/kep.kdh/a/2004 tentang pengelolaan. Surat pernyataan kesanggupan pengelolaan dan pemantauan lingkungan hidup yang selanjutnya disebut sppl adalah pernyataan kesanggupan dari penanggungjawab usaha dan/atau kegiatan untuk melakukan pengelolaan dan pemantauan lingkungan hidup atas dampak. Kesanggupan pengelolaan dan pemantauan lingkungan hidup (sppl). Dinas lingkungan hidup kota banjarmasin sebagai pelaksana lingkungan hidup dalam menyelenggarakan pemerintahan yang baik (good semoga website dinas lingkungan hidup kota banjarmasin ini dapat digunakan sebagai sumber data dan informasi pelayanan lingkungan hidup. (4) dalam hal terdapat kekurangan. Surat pernyataan kesanggupan pengelolaan dan pemantauan lingkungan hidup (sppl) · 106 d. Pengelolaan yang dimaksud dilakukan oleh pihak pemilik usaha dengan salah satu dari dokumen lingkungan hidup (dlh) yakni surat pernyataan kesanggupan pengelolaan dan pemantauan lingkungan hidup (sppl). .kesanggupan pengelolaan dan pemantauan lingkungan hidup (sppl). Rencana pemantauan lingkungan hidup (rpl) adalah upaya pemantauan komponen lingkungan hidup yang terkena dampak besar dan penting proses pelaksanaan usaha/kegiatan yang wajib dilengkapi dengan surat pernyataan pengelolaan lingkungan (sppl) dilaksanakan oleh : Merencanakan untuk melakukan pengelolaan dan pemantauan dampak lingkungan melalui seluruh pengelolaan dan pemantauan dampak lingkungan sebagaimana tersebut diatas, dan. Seorang yang tidak pernah berhenti belajar apapun. Disini anda dituntut untuk menulis dengan sebenarnya dan harus menepati.

Saya mempunyai salah satu contoh lampiran yang digunakan untuk mengajukan izin usaha yaitu surat pernyataan kesanggupan pengelolaan dan pemantauan lingkungan hidup. Sppl format sppl kami yang bertanda tangan di bawah ini: Peraturan menteri lingkungan hidup dan kehutanan republik indonesia nomor : .kesanggupan pengelolaan dan pemantauan lingkungan hidup (sppl). Sppl adalah surat pernyataan kesanggupan dari penanggupan jawab usaha dan/atau kegiatan untuk melakukan pengelolaan & pemantauan lingkungan 5.

Http 103 47 60 203 Downloads Produk Hukum Kab Temanggung Perbub 2014 Perbub 52 Tahun 2014 Pdf
Http 103 47 60 203 Downloads Produk Hukum Kab Temanggung Perbub 2014 Perbub 52 Tahun 2014 Pdf from
Surat memang menjadi media komunikasi yang banyak digunakan oleh berbagai pihak. Seorang yang tidak pernah berhenti belajar apapun. Sppl adalah surat pernyataan kesanggupan dari penanggupan jawab usaha dan/atau kegiatan untuk melakukan pengelolaan & pemantauan lingkungan 5. Kesanggupan pengelolaan dan pemantauan lingkungan hidup. Surat pernyataan kesanggupan pengelolaan dan pemantauan lingkungan hidup yang selanjutnya disebut sppl adalah pernyataan (3) kepala dinas wajib memeriksa sppl yang telah memenuhi format penyusunan sppl dan lampiran persyaratan. Bertanggung jawab terhadap kerusakan dan/atau pencemaran lingkungan yang diakibatkan oleh usaha dan/atau kegiatan tersebut. Sppl (surat pernyataan pengelolaan lingkungan). Peraturan menteri lingkungan hidup dan kehutanan republik indonesia nomor :

Fotokopi surat keterangan domisili usaha.

Dan penting terhadap lingkungan hidup; Saya mempunyai salah satu contoh lampiran yang digunakan untuk mengajukan izin usaha yaitu surat pernyataan kesanggupan pengelolaan dan pemantauan lingkungan hidup. Fotokopi ktp pemrakarsa/pemilik usaha/penanggung jawab kegiatan. Bersedia dipantau dampak lingkungan dari usaha dan/atau kegiatannya oleh pejabat yangberwenang. Pengelolaan yang dimaksud dilakukan oleh pihak pemilik usaha dengan salah satu dari dokumen lingkungan hidup (dlh) yakni surat pernyataan kesanggupan pengelolaan dan pemantauan lingkungan hidup (sppl). Surat pernyataan kesanggupan pengelolaan dan pemantauan lingkungan hidup yang selanjutnya disebut sppl adalah pernyataan kesanggupan dari penanggungjawab usaha dan/atau kegiatan untuk melakukan pengelolaan dan pemantauan lingkungan hidup atas dampak. Sppl format sppl kami yang bertanda tangan di bawah ini: Surat memang menjadi media komunikasi yang banyak digunakan oleh berbagai pihak. Rencana pemantauan lingkungan hidup (rpl) adalah upaya pemantauan komponen lingkungan hidup yang terkena dampak besar dan penting proses pelaksanaan usaha/kegiatan yang wajib dilengkapi dengan surat pernyataan pengelolaan lingkungan (sppl) dilaksanakan oleh : Surat pernyataan kesanggupan dan kesediaan bertempat tinggal/berdomisili di desa yang. Surat pernyataan kesanggupan pengelolaan dan pemantauan lingkungan hidup yang selanjutnya disebut sppl adalah pernyataan (3) kepala dinas wajib memeriksa sppl yang telah memenuhi format penyusunan sppl dan lampiran persyaratan. Seorang yang tidak pernah berhenti belajar apapun. Fotokopi surat keterangan domisili usaha.

Advertisement